环特生物斑马鱼和大小鼠实验中心
斑马鱼与大小鼠模型实验中心
药物评价与筛选 首页 >> 服务项目 >> 药物评价与筛选
  • 利用斑马鱼模型评价降糖功效

    利用斑马鱼模型评价降糖功效

    【评价结论】1.经过每组30尾斑马鱼的对比实验,降糖产品组斑马鱼血糖值与模型对照组比较血糖明显下降。2.本实验证实了蜂胶软胶囊、苦瓜素胶囊、苦瓜洋参软胶囊之类的降糖产品具有降糖作用。

  • 利用斑马鱼模型评价降尿酸功效

    利用斑马鱼模型评价降尿酸功效

    【评价结论】1.经过每组30尾斑马鱼的对比实验,阳性对照组的尿酸水平与未摄入氧嗪酸钾和黄嘌呤的正常对照组相似,并相对模型对照组的尿酸水平显著降低。2.本实验证实了鲣鱼胶原肽和蛹虫草降尿酸产品具有显著降尿酸功···

  • 利用斑马鱼模型评价解酒功效

    利用斑马鱼模型评价解酒功效

    【评价结论】1.经过每组30尾斑马鱼的对比实验,服用解酒剂组的总运动距离与模型对照组比较明显降低,并ADH和ALDH两种酶含量明显增高。2.本实验证实了RU21、海王金樽具有明显的解酒功效。

  • 利用斑马鱼模型评价调节免疫功效—中性粒细胞

    利用斑马鱼模型评价调节免疫功效—中性粒细胞

    【评价结论】1.经过每组30尾斑马鱼的对比实验,免疫调节剂组中性粒细胞数量与正常对照组相似,并未出现模型对照组免疫力低下的情况。2.本实验证实了盐酸小檗胺具有增强免疫力的功效。

  • 利用斑马鱼模型评价调节免疫功效—巨噬细胞

    利用斑马鱼模型评价调节免疫功效—巨噬细胞

    【评价结论】1.经过每组30尾斑马鱼的对比实验,免疫调节剂组巨噬细胞数量与正常对照组相似,并未出现模型对照组免疫力低下的情况。2.本实验证实了盐酸小檗胺具有增强免疫力的功效。

  • 利用斑马鱼模型评价调节免疫功效—T细胞

    利用斑马鱼模型评价调节免疫功效—T细胞

    【评价结论】1.经过每组30尾斑马鱼的对比实验,免疫调节剂组的T细胞荧光强度与正常对照组相似,并未出现模型对照组T细胞减少的情况。2.本实验证实了异丙肌苷具有增强免疫力的功效。

  • 利用斑马鱼模型评价抗炎作用—细菌性炎症

    利用斑马鱼模型评价抗炎作用—细菌性炎症

    【评价结论】1.经过每组30尾斑马鱼的对比实验,服用/注射抗炎药组卵黄囊内中性粒细胞数量比正常对照组略多,未出现模型对照组中性粒细胞募集情况,且TNF-α、COX-2、IL-1β、IL-6和IL-10炎症因子明显下调。2.本实验证···

  • 利用斑马鱼模型评价抗炎作用—神经性炎症

    利用斑马鱼模型评价抗炎作用—神经性炎症

    【评价结论】1.经过每组30尾斑马鱼的对比实验,服用抗炎药组侧线上中性粒细胞数量与正常对照组数量相当,未出现模型对照组中性粒细胞募集情况,且TNF-α、COX-2、IL-1β、IL-6和IL-10炎症因子明显下调。2.本实验证实···

  • 利用斑马鱼模型评价抗炎作用—机械性炎症

    利用斑马鱼模型评价抗炎作用—机械性炎症

    【评价结论】1.经过每组30尾斑马鱼的对比实验,服用/注射抗炎药组尾鳍中性粒细胞数量与正常对照组相似,未出现创面中性粒细胞募集情况,且TNF-α、COX-2、IL-1β、IL-6和IL-10炎症因子明显下调。2.本实验证实了吲哚美···

  • 利用斑马鱼模型评价结肠炎防治作用

    利用斑马鱼模型评价结肠炎防治作用

    1.经过每组30尾斑马鱼的对比实验,服用抗结肠炎药物的肠腔面积和杯状细胞数量与未加入TNBS的正常对照组相似,并未出现模型对照组的肠腔变大和杯状细胞减少的情况。2.本实验证实了泼尼松具有结肠炎的防治作用。

  • 利用斑马鱼模型评价抗肿瘤作用

    利用斑马鱼模型评价抗肿瘤作用

    【评价结论】经过每组60尾斑马鱼的对比实验,抗肿瘤药组斑马鱼生存期较模型对照组明显延长。本实验证实了顺铂、康莱特、沙利度胺等抗肿瘤药具有显著的抗肿瘤作用。

  • 利用斑马鱼模型评价抗血管形成作用

    利用斑马鱼模型评价抗血管形成作用

    【评价结论】1.经过每组30尾斑马鱼的对比实验,给予血管抑制组的肠下血管较正常对照组变小,节间血管较正常对照组失去完整性。2.本实验证实了索拉非尼和恩度具有抑制血管形成作用。

  • 利用斑马鱼模型评价抗细菌感染作用

    利用斑马鱼模型评价抗细菌感染作用

    【评价结论】1.经过每组30尾斑马鱼的对比实验,服用抗菌剂组的斑马鱼体内细菌数量较模型对照组显著减少,未出现全身性感染。2.本实验证实了阿奇霉素、比阿培南、利奈唑酮等抗生素具有显著的抑制细菌作用。

  • 利用斑马鱼模型评价多药耐药逆转作用

    利用斑马鱼模型评价多药耐药逆转作用

    【评价结论】1.经过每组30尾斑马鱼的对比实验,服用P-gp抑制剂组的斑马鱼卵黄囊明显比正常对照组的亮,说明其对P-gp有显著的抑制作用。2.本实验证实了环孢菌素A、维拉帕米具有逆转多药耐药作用。

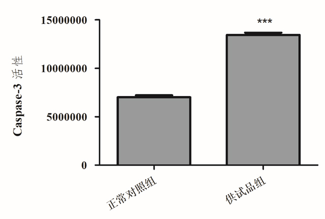
  • 利用斑马鱼模型评价对caspase的诱导作用

    利用斑马鱼模型评价对caspase的诱导作用

    【评价结论】1.经过每组30尾斑马鱼的对比实验,服用/注射供试品组的斑马鱼caspase活性明显上升,与正常对照组存在明显的差别。2.本实验证实了该供试品对斑马鱼caspase有诱导作用。

  • 利用斑马鱼模型评价Wnt信号通路抑制作用

    利用斑马鱼模型评价Wnt信号通路抑制作用

    【评价结论】1.经过每组30尾斑马鱼的对比实验,服用Wnt信号通路抑制剂的体轴长度和尾鳍再生面积均小于正常对照组。2.本实验证实了LGK974具有体轴发育和组织再生抑制作用,作用机制与抑制wnt信号通路相关。

  • 利用斑马鱼模型评价湿性黄斑变性防治作用

    利用斑马鱼模型评价湿性黄斑变性防治作用

    【评价结论】1.经过每组30尾斑马鱼的对比实验,服用/注射黄斑变性药物组与模型对照组比较,视网膜血管明显变细、视网膜结构较正常、hif-1α基因表达下调。2.本实验证实了施图伦滴眼液、贝伐单抗具有明显的湿性黄斑变···

  • 利用斑马鱼模型评价保护视力功效

    利用斑马鱼模型评价保护视力功效

    【评价结论】1.经过每组30尾斑马鱼的对比实验,眼保护剂组斑马鱼眼细胞与正常对照组相似,并未出现模型对照组的大面积细胞凋亡情况。2.本实验证实了蓝莓叶黄素酯具有保护视力功效。

  • 利用斑马鱼模型评价胃肠道粘膜损伤辅助保护功效

    利用斑马鱼模型评价胃肠道粘膜损伤辅助保护功效

    【评价结论】1.经过每组30尾斑马鱼的对比实验,服用胃肠道粘膜辅助保护剂组的胃肠腔情况与正常对照组相似,并未出现模型对照组胃肠腔扩张、中性粒细胞数量增加、肠道杯状细胞数目减少、粘膜糜烂溃疡等情况。2.本实验···

  • 利用斑马鱼模型筛选胃肠动力抑制剂

    利用斑马鱼模型筛选胃肠动力抑制剂

    【评价结论】1.经过每组30尾斑马鱼的对比实验,服用胃肠动力抑制剂斑马鱼的胃肠道荧光强度明显比正常对照组亮。

电话咨询
在线咨询
客服微信
在线留言

业务咨询

0571-83782130

17364531293(微信同号)

微信咨询