业务咨询
【评价原理】
临床上显示常见的青光眼视神经病变、糖尿病性视网膜病变以及视网膜中央动静脉阻塞等疾病的发生都与缺氧有关系。组织的缺氧被视为视网膜血管疾病的重要原因,而与血管相关的视网膜疾病恰恰是临床上导致视力丧失的主要原因。斑马鱼视网膜结构与人类高度相似,这使得斑马鱼胚胎能够模拟视网膜新生血管,为在短时间内快速评估功效提供了模型。
氯化钴是广泛使用的化学缺氧模拟剂,其钴可以取代特定前体羟化酶中的铁离子,使羟化活性失活。缺氧条件下,能够诱导转录因子(hif)和血管内皮生长因子(vegf)的表达,诱发新生血管形成。
改善湿性黄斑变性有3个指标:(1)采用转基因血管内皮细胞绿色荧光斑马鱼,可在荧光显微镜在观察到缺氧的斑马鱼视网膜血管明显增多增粗;(2)同时制作病理切片,进行苏木素-伊红染色,观察视网膜结构变化;(3)检测hif、vegf基因相对表达量。
【实验方案】
我们将受测试斑马鱼分成三组,分别是正常对照组、模型对照组和黄斑变性药物组。其中正常对照组未摄入氯化钴,模型对照组与黄斑变性药物组都摄入了等量的氯化钴(氯化钴通过溶于鱼水的方式摄入到斑马鱼体内)。黄斑变性药物组在摄入氯化钴的同时给予施图伦滴眼液、贝伐单抗之类的黄斑变性药物。
服用/注射一段时间黄斑变性药物后,我们在荧光显微镜下观察斑马鱼视网膜血管的变化,制作成病理切片观察视网膜的病理结构变化,检测hif、vegf基因相对表达量。
【结果展示】

图1. 斑马鱼视网膜血管表型图
可以看到,服用/注射黄斑变性药物组的视网膜血管面积与正常对照组比较相似,没有明显的血管增多增粗。

图2. 视网膜结构表型图
从病理切片中也能看出来,模型斑马鱼眼睛病理切片的色素上皮层和外核层结构紊乱、变薄,而服用/注射黄斑变性药物组的色素上皮层和外核层结构均有所恢复。

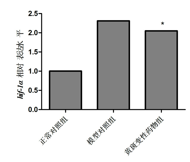
图3. hif-1α基因相对表达量
可以看到,模型斑马鱼hif-1α基因表达显著升高,服用/注射黄斑变性药物组该基因明显下降。
【评价结论】
1.经过每组30尾斑马鱼的对比实验,服用/注射黄斑变性药物组与模型对照组比较,视网膜血管明显变细、视网膜结构较正常、hif-1α基因表达下调。
2.本实验证实了施图伦滴眼液、贝伐单抗具有明显的湿性黄斑变性防治作用。


