环特生物斑马鱼和大小鼠实验中心
斑马鱼与大小鼠模型实验中心
化妆品评价-备案 首页 >> 服务项目 >> 化妆品评价-备案
  • 利用斑马鱼模型评价化妆品增加皮肤弹性作用

    利用斑马鱼模型评价化妆品增加皮肤弹性作用

    针对熟龄肌的化妆品是由于提高了皮肤弹性而具有抗衰老功效。通过斑马鱼技术能有效评价化妆品增加皮肤弹性的功效。

  • 利用斑马鱼模型评价抗炎舒缓效果

    利用斑马鱼模型评价抗炎舒缓效果

    医美类化妆品除具有常规护肤功效外还能起到抗炎舒缓作用。通过斑马鱼技术能有效评价化妆品及其原料抗炎舒缓功效。

  • 利用斑马鱼模型评价化妆品抗过敏作用

    利用斑马鱼模型评价化妆品抗过敏作用

    斑马鱼产生过敏反应时,同样会诱导肥大细胞分泌类胰蛋白酶。通过检测斑马鱼整体类胰蛋白酶水平可以判断化妆品及其原料的抗过敏作用。

  • 利用斑马鱼模型评价化妆品抗光老化作用

    利用斑马鱼模型评价化妆品抗光老化作用

    通过紫外光照射使斑马鱼尾鳍形成损伤,添加化妆品后,采用拍照方式对斑马鱼尾鳍进行图像采集,分析斑马鱼尾鳍损伤程度并判定抗光老化功效。

  • 斑马鱼模型经皮吸收评价方案

    斑马鱼模型经皮吸收评价方案

    斑马鱼的皮肤结构与人体高度相似,因此活性成分在活体斑马鱼上的经皮吸收结果可以反映在人体皮肤上的吸收状况。

  • 利用斑马鱼模型评价化妆品改善微循环作用

    利用斑马鱼模型评价化妆品改善微循环作用

    通过观察受试物对节间血管直径的影响来评价受试物促进血管新生的功效,进而表征改善微循环功效。可以利用血流分析仪检测受试斑马鱼的血流速度,补充评价改善微循环功效。

  • 利用斑马鱼模型评价补水保湿效果

    利用斑马鱼模型评价补水保湿效果

    皮肤缺水可表现为表面失去光泽变得暗淡无光,失去弹性,出现细纹。补水保湿是护肤化妆品基础的功效,通过斑马鱼技术能有效评价化妆品及其原料的补水保湿功效。

  • 利用斑马鱼模型评价化妆品致敏性

    利用斑马鱼模型评价化妆品致敏性

    敏感性肌肤的人群选用化妆品时,需要特别关注化妆品的致敏性。通过斑马鱼技术可以有效评价化妆品及其原料的致敏性。

  • 利用斑马鱼模型评价化妆品刺激性

    利用斑马鱼模型评价化妆品刺激性

    刺激物进入斑马鱼体内,诱导炎症反应,中性粒细胞发生免疫应答,向皮肤表皮迁移并聚集。通过在荧光显微镜下对斑马鱼皮肤表面的中性粒细胞进行计数,从而反映受试物刺激性强度。

  • 斑马鱼模型评价化妆品光毒性

    斑马鱼模型评价化妆品光毒性

    光毒性检测是化妆品安全性评价的重要内容之一,皮肤接触到光敏性物质后,在光照下可能产生局部或全身的毒性效应。根据斑马鱼胚胎的生长发育状况可以评价受试物的光毒性。

  • 斑马鱼模型评价化妆品急性胚胎毒性

    斑马鱼模型评价化妆品急性胚胎毒性

    斑马鱼早期发育阶段的胚胎期是其对外界环境敏感的阶段,斑马鱼的急性胚胎毒性对于化妆品的安全性评价具有重要的实际意义。

  • 利用斑马鱼模型评价化妆品雌激素

    利用斑马鱼模型评价化妆品雌激素

    【评价结论】1、经过各组斑马鱼的对比实验,雌激素处理组斑马鱼的肝脏部位出现明显的绿色荧光,与正常对照组存在明显的差别;2、本实验说明供试品中存在雌激素类有害物质。

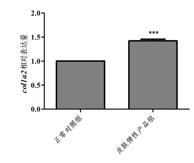
  • 利用斑马鱼模型评价增加皮肤弹性功效

    利用斑马鱼模型评价增加皮肤弹性功效

    【评价结论】1.经过每组30尾斑马鱼的对比实验,服用皮肤弹性产品组的col1a2基因、col1a1a和col1a1b基因相对表达量较正常对照组明显增加。

  • 利用斑马鱼模型评价舒缓(炎症修复)功效

    利用斑马鱼模型评价舒缓(炎症修复)功效

    【评价结论】1.经过每组30尾斑马鱼的对比实验,使用舒缓剂组的皮肤中性粒细胞数量比模型对照组明显减少。2.本实验证实了阿司匹林和地塞米松具有明显舒缓(炎症修复)功效。

  • 利用斑马鱼模型评价提亮肤色功效

    利用斑马鱼模型评价提亮肤色功效

    【评价结论】1.经过每组30尾斑马鱼的对比实验,提亮肤色产品组色素沉着情况与正常对照组相似,并未出现模型对照组色素沉着严重的情况。2.本实验证实了N-乙酰-L半胱氨酸、燕窝酸具有提亮肤色功效。

  • 利用斑马鱼模型评价美白淡斑功效

    利用斑马鱼模型评价美白淡斑功效

    【评价结论】1.经过每组30尾斑马鱼的对比实验,服用美白淡斑产品组的色素相比正常对照组明显减少。2.本实验证实了熊果苷、曲酸美白产品具有美白淡斑功效。

  • 利用斑马鱼模型评价防晒(晒后修复)功效

    利用斑马鱼模型评价防晒(晒后修复)功效

    【评价结论】1.经过每组30尾斑马鱼的对比实验,使用防晒剂组的尾鳍面积、凋亡细胞个数与未照射紫外线的正常对照组比较相似,没有模型对照组尾鳍面积缩小和细胞凋亡增多的情况。2.本实验证实了茶多酚、SOD等具有显著的···

  • 利用斑马鱼模型评价促进伤口愈合功效

    利用斑马鱼模型评价促进伤口愈合功效

    【评价结论】1.经过每组30尾斑马鱼的对比实验,服用伤口愈合促进剂组的黑色素募集情况较模型对照组明显减轻,cola1b相对表达量也明显高于模型对照组。2.本实验证实了胶原蛋白具有促进伤口愈合功效。

  • 利用斑马鱼模型评价补水保湿功效

    利用斑马鱼模型评价补水保湿功效

    【评价结论】1.经过每组30尾斑马鱼的对比实验,服用补水保湿剂组的尾部面积与未摄入氯化钠的正常对照组相似,并未出现模型对照组尾部脱水皱缩的情况。2.本实验证实了玻尿酸具有补水保湿功效。

  • 利用斑马鱼模型检测类雌激素物质

    利用斑马鱼模型检测类雌激素物质

    【评价结论】1.经过每组30尾斑马鱼的对比实验,摄入含类雌激素物质的供试品组斑马鱼肝脏荧光明显,与正常对照组存在明显差别。2.本实验证实了该供试品含有类雌激素物质。

电话咨询
在线咨询
客服微信
在线留言

业务咨询

0571-83782130

17364531293(微信同号)

微信咨询