业务咨询
过敏反应通常会引起许多皮肤症状,比如皮肤发红、发痒,严重的患者还会出现刺痛或者面部出现红斑、风团、丘疹或丘疱疹等症状。一些医美类化妆品除具有常规护肤功效外还能起到抗过敏作用。通过斑马鱼技术能有效评价化妆品及其原料对过敏反应的抑制作用。
【评价原理】
过敏反应的主要原因是过敏原/致敏因子诱导组织学上肥大细胞脱颗粒,释放多种活性介质进而诱发各种过敏症状。其中类胰蛋白酶是肥大细胞内预先合成的中性蛋白酶,是临床上检验人体是否过敏的重要指标。斑马鱼产生过敏反应时,同样会诱导肥大细胞分泌类胰蛋白酶。因此,通过检测斑马鱼整体类胰蛋白酶水平可以判断化妆品及其原料的抗过敏作用。
【实验方案】
我们将受测试斑马鱼分成若干组,分别含正常对照组、模型对照组和化妆品组。其中正常对照组未经C48/80处理,模型对照组和化妆品组都用C48/80处理(C48/80通过溶解到标准稀释水中的方式摄入到斑马鱼体内,C48/80是一种能让皮肤表面产生过敏反应的物质),化妆品组另需加入相应浓度的化妆品样品。
处理24 h后,利用酶标仪检测各组吸光度值(OD值),以类胰蛋白酶的表达水平评价化妆品抗过敏作用。
此外,可以通过斑马鱼病理切片,用PAS染色后观察肠道壁上肥大细胞的状况反映化妆品的抗敏作用。
【结果展示】(展示图片仅供参考,实际实验组别依据合同而定)

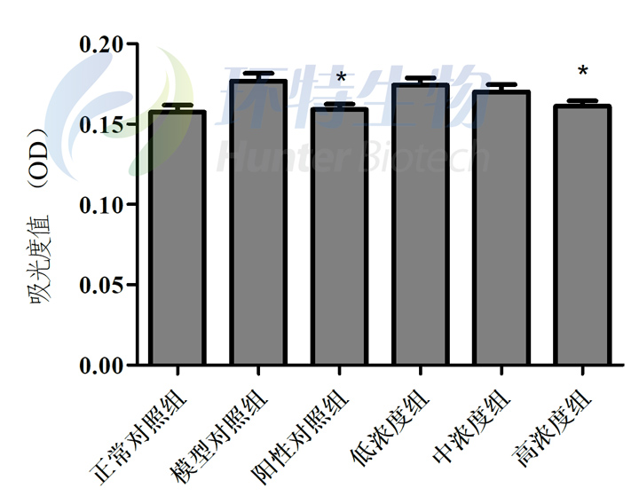
图1. 化妆品处理后斑马鱼吸光度值
与模型对照组比较,*p < 0.05

图2. 化妆品处理后斑马鱼的致敏作用
与模型对照组比较,*p < 0.05
可以看到,使用化妆品的浓度组类胰蛋白酶含量与模型对照组比较明显降低。

图3. 斑马鱼体内肥大细胞染色典型图(箭头指示为肥大细胞,PAS 1000×)
从病理切片中也能看出来,模型对照组斑马鱼的肠道壁上的肥大细胞与正常对照组相比数量显著上升,而经色甘酸钠和化妆品处理的斑马鱼肠道肥大细胞相对于模型对照组明显减少。
【评价结论】
1.经过各组斑马鱼的对比实验,模型对照组斑马鱼的肠道壁上的肥大细胞与正常对照组相比数量显著上升,而经色甘酸钠和化妆品处理的斑马鱼肠道肥大细胞相对于模型对照组明显减少。
2.本实验证实了色甘酸钠和该化妆品具有抗过敏功效。
【参考文献】
[1] Lavens S E , Proud D , Warner J A . A sensitive colorimetric assay for the release of tryptase from human lung mast cells in vitro[J]. journal of immunological methods, 1993, 166(1):93-102.
[2] Solley G O , Gleich G J , Jordon R E , et al. The late phase of the immediate wheal and flare skin reaction. Its dependence upon IgE antibodies.[J]. Journal of Clinical Investigation, 1976, 58(2):408-420.
[3] 李春启, 劳乔聪和俞航萍. 一种斑马鱼类过敏检测模型的建立及其应用: CN201310262123.8[P]. 2013-06-27.


