环特生物斑马鱼和大小鼠实验中心
斑马鱼与大小鼠模型实验中心
药物评价与筛选 首页 >> 服务项目 >> 药物评价与筛选
  • 利用斑马鱼模型筛选能量调节剂(减肥产品)

    利用斑马鱼模型筛选能量调节剂(减肥产品)

    【评价结论】1.经过每组30尾斑马鱼的对比实验,服用能量调节剂的斑马鱼体内ATP含量与正常对照组相比明显升高,说明本次实验中选用的能量调节剂可促进ATP生成,促进能量代谢。

  • 利用斑马鱼模型评价血管形成促进功效

    利用斑马鱼模型评价血管形成促进功效

    【评价结论】1.经过每组30尾斑马鱼的对比实验,服用促血管形成剂组斑马鱼与正常对照组比较,肠下血管面积明显变大。2.本实验证实了毛蕊异黄酮之类的药物具有显著的血管形成促进作用。

  • 利用斑马鱼模型评价糖尿病神经保护功效

    利用斑马鱼模型评价糖尿病神经保护功效

    【评价结论】1.经过每组30尾斑马鱼的对比实验,降糖产品组斑马鱼周围运动神经荧光强度与模型对照组比较明显增强。2.本实验证实了松花蛹虫草之类的产品具有神经保护作用。

  • 利用斑马鱼模型评价抗抑郁作用

    利用斑马鱼模型评价抗抑郁作用

    【评价结论】1.经过每组30尾斑马鱼的对比实验,服用抗抑郁剂情况与对照组相比较,机体内的单胺类氧化酶活性明显降低。2.本实验证实了盐酸司来吉兰,吗氯贝氨等具有显著的降低单胺氧化酶活性的作用。

  • 利用斑马鱼模型评价酒精性肝损伤保护作用

    利用斑马鱼模型评价酒精性肝损伤保护作用

    【评价结论】1.经过每组30尾斑马鱼的对比实验,肝保护剂组斑马鱼肝脏与正常对照组相似,并未出现模型对照组的肝脏肿大、肝变性和卵黄囊吸收延迟情况。2.本实验证实美他多辛对斑马鱼肝脏的保护作用。

  • 利用斑马鱼模型评价降血脂作用

    利用斑马鱼模型评价降血脂作用

    【评价结论】1.经过每组30尾斑马鱼的对比实验,服用降脂产品组的血脂聚积情况与模型对照组比较明显减少。2.本实验证实了阿托伐他汀钙、辛伐他汀、洛伐他汀类降脂产品具有显著的降脂降胆固醇作用。

  • 利用斑马鱼模型评价高血糖高血脂血管壁增厚改善功效

    利用斑马鱼模型评价高血糖高血脂血管壁增厚改善功效

    【评价结论】1.经过每组30尾斑马鱼的对比实验,降糖降脂产品组斑马鱼眼部血管壁厚度与正常对照组相近,并未出现模型对照组眼部血管壁增厚的情况。2.本实验证实了松花蛹虫草具有眼部血管壁厚度增厚改善功效。

  • 利用斑马鱼模型评价糖尿病神经炎症消退功效

    利用斑马鱼模型评价糖尿病神经炎症消退功效

    【评价结论】1.经过每组30尾斑马鱼的对比实验,降糖产品组斑马鱼周围运动神经中性粒细胞数目与模型对照组比较明显减少。2.本实验证实了松花蛹虫草之类的降糖产品具有神经炎症消退功效。

  • 利用斑马鱼模型评价改善心动过缓功效

    利用斑马鱼模型评价改善心动过缓功效

    【评价结论】1.经过每组30尾斑马鱼的对比实验,服用改善心动过缓药物组的心率相较于模型对照组。2.本实验证实了地高辛具有明显改善心动过缓的功效。

  • 利用斑马鱼模型评价改善贫血功效

    利用斑马鱼模型评价改善贫血功效

    【评价结论】1.经过每组30尾斑马鱼的对比实验,服用补血药物组的红细胞信号强度与正常对照组相似,并未出现模型对照组红细胞减少的情况。2.本实验证实了生血宁具有明显改善贫血的功效。

  • 利用斑马鱼模型评价肠道粘液分泌功能

    利用斑马鱼模型评价肠道粘液分泌功能

    【评价结论】1.经过每组30尾斑马鱼的对比实验,服用肠道粘膜辅助保护剂组的肠道杯状细胞量与正常对照组比较相似,没有明显的减少。2.本实验证实了常欣卫口服液具有明显的促肠道粘液分泌功能。

  • 利用斑马鱼模型评价肠道消化功能

    利用斑马鱼模型评价肠道消化功能

    【评价结论】1.经过每组30尾斑马鱼的对比实验,服用供试品组与正常对照组比较胰脂肪酶和胰蛋白酶含量均有明显的升高。2.本实验证实了供试品具有促进肠道消化功能的作用,主要表现为增加胰脂肪酶和胰蛋白酶的含量。

  • 利用斑马鱼模型评价中枢神经保护作用

    利用斑马鱼模型评价中枢神经保护作用

    【评价结论】1.经过每组30尾斑马鱼的对比实验,服用中枢神经保护剂组的中枢神经情况与正常对照组相似,并未出现模型对照组大量凋亡细胞的情况。2.本实验证实了还原型谷胱甘肽、养血清脑颗粒和安宫牛黄丸具有明显保护···

  • 利用斑马鱼模型评价改善心脏出血功效

    利用斑马鱼模型评价改善心脏出血功效

    【评价结论】1.经过每组30尾斑马鱼的对比实验,服用改善心脏出血药物组的心脏出血情况、运动距离、血流速度均有明显改善作用。2.本实验证实了淫羊藿苷具有明显改善心脏出血的功效。

  • 利用斑马鱼模型评价半数致死浓度

    利用斑马鱼模型评价半数致死浓度

    【评价结论】根据药物“浓度-死亡率”的统计数据,利用OriginPro 8.0软件模拟得出药物的LC50=8.0 μg/mL。

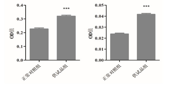
  • 利用斑马鱼模型评价氧化应激

    利用斑马鱼模型评价氧化应激

    【评价结论】1.经过每组30尾斑马鱼的对比实验,服用供试品组的斑马鱼ROS水平明显高于正常对照组,与正常对照组存在显著性差异。2.本实验证实了该供试品诱发斑马鱼氧化应激。

  • 利用斑马鱼模型评价基因毒性

    利用斑马鱼模型评价基因毒性

    【评价结论】1.经过每组30尾斑马鱼的对比实验,服用/注射供试品组的斑马鱼细胞核出现明显拖尾,与正常对照组存在明显的差别。2.本实验证实了该供试品对斑马鱼有基因毒性。

  • 利用斑马鱼模型评价胃肠道毒性

    利用斑马鱼模型评价胃肠道毒性

    【评价结论】1.经过每组30尾斑马鱼的对比实验,服用/注射供试品组的斑马鱼胃肠道形态与正常对照组比较,发生了明显的变化,且肠道蠕动功能被抑制。2.本实验证实了该供试品对斑马鱼有胃肠道毒性。

  • 利用斑马鱼模型评价免疫毒性

    利用斑马鱼模型评价免疫毒性

    【评价结论】1.经过每组30尾斑马鱼的对比实验,服用供试品组的中性粒细胞和巨噬细胞数量与正常对照组比较均有减少,其巨噬细胞吞噬功能有所下降,且rag1和rag2相对表达量减少。2.本实验证实了该供试品具有免疫毒性。

  • 利用斑马鱼模型评价行为毒性

    利用斑马鱼模型评价行为毒性

    【评价结论】1.经过每组30尾斑马鱼的对比实验,服用/注射供试品组的斑马鱼运动明显减少,中枢神经细胞凋亡增加,外周运动神经缩短且脑变性发生率增加,与正常对照组存在明显的差别。2.本实验证实了该供试品对斑马鱼有···

电话咨询
在线咨询
客服微信
在线留言

业务咨询

0571-83782130

17364531293(微信同号)

微信咨询