业务咨询
【评价原理】
脑出血是指非外伤性脑实质内部血管破裂引发的脑内出血病症,占全部脑卒中的20%~30%,急性期病死率为30%~40%。羟甲基戊二酸单酰辅酶A还原酶 ( HMGCR) 是他汀类药物发挥抑制作用的直接作用点, HMGCR功能被抑制会影响血管的完整性和稳定性,诱发脑出血。由于斑马鱼大脑具有典型脊椎动物脑部形态学特征,血管与神经系统在分子信号通路上与人和哺乳动物的同源性达到85%以上。在大量摄入辛伐他汀后,斑马鱼脑部也会出现脑出血的情况,患有脑出血的斑马鱼的脑部会出现明显的片状出血,而正常斑马鱼没有;由于脑出血斑马鱼的心搏输出量和血流速度也会降低,利用血流分析仪可明显观察到。脑出血可直接造成反应迟钝、运动功能障碍,可通过行为分析软件观察斑马鱼的行为轨迹。
我们评价斑马鱼脑出血有4个指标:1.脑出血发生率;2.心搏输出量;3. 血流速度;4. 行为学(运动改善)。
【实验方案】
我们将受测试斑马鱼分成三组,分别是正常对照组、模型对照组和服用脑血管保护剂组。其中正常对照组未摄入辛伐他汀,模型对照组与服用脑血管保护剂组都摄入了等量的辛伐他汀(辛伐他汀通过溶解到养鱼用水中的方式摄入到斑马鱼体内)。服用脑血管保护剂组在摄入辛伐他汀的同时摄入淫羊藿苷之类的脑血管保护剂。
服用脑血管保护剂一段时间后,我们对斑马鱼脑部出血、心搏输出、血流速度和行为学(运动改善)情况进行观察。
【结果展示】

图1. 斑马鱼脑出血表型图
黄色虚线区域为脑出血区域
可以看到,服用脑血管保护剂组的斑马鱼头部情况与正常对照组比较相似,没有明显的脑出血现象。

图2. 斑马鱼心搏输出量
与模型对照组比较,*** p< 0.001
可以看到,服用脑血管保护剂组的斑马鱼心搏输出量与模型对照组比较明显增加。

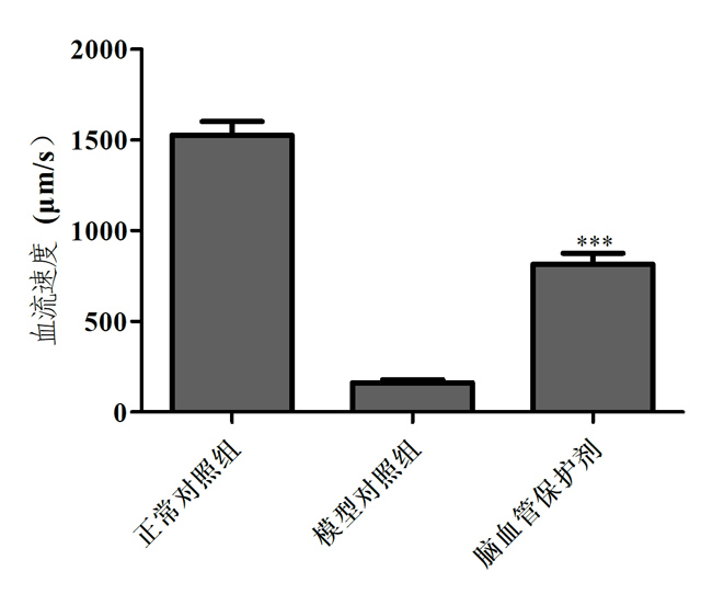
图3. 斑马鱼血流速度
与模型对照组比较,*** p< 0.001
可以看到,服用脑血管保护剂组的斑马鱼血流速度与模型对照组比较明显增加。

图4 .斑马鱼运动轨迹图
(黑线:斑马鱼慢速运动轨迹;绿线:中速运动;红线:快速运动)
可以看到,模型对照组斑马鱼总运动距离较正常对照组明显减少,而服用脑血管保护剂组斑马鱼运动功能得到明显改善。
【评价结论】
1.经过每组30尾斑马鱼的对比实验,服用脑血管保护剂组的斑马鱼脑部情况与未摄入辛伐他汀的正常对照组相似,并未出现模型对照组明显的脑出血的情况;服用脑血管保护剂组的与模型对照组比较,心搏输出量明显增多、血流速度明显加快、运动功能得到明显改善。
2.本实验证实了淫羊藿苷具有显著的防治脑出血作用。


