业务咨询
【评价原理】
花生四烯酸主要为AA在TXA2合成酶作用下生成TXA2,激活血小板,活化血小板通过GPⅡb/III a受体与纤维蛋白原交联在一起形成血栓。斑马鱼拥有凝血因子、血小板受体,并对临床应用的抗凝血和抗血栓药物具有很好的反应,适合于血栓形成机制和治疗药物的评价。
躯干出现血栓后,血流速度便会减慢,回心血量便会减少。经过红细胞特异性染色(呈红色),患有血小板聚集性血栓的斑马鱼心脏红细胞数量比正常斑马鱼明显减少。由于斑马鱼血液系统发育过程透明的特点,可以明显被观察到。患有血小板聚集性血栓的斑马鱼血流速度会明显比正常斑马鱼明显减慢,在血流分析仪下可以明显观察到。
【实验方案】
我们将受测试斑马鱼分成三组,分别是正常对照组、模型对照组和抗血栓药物组。其中正常对照组未摄入花生四烯酸,模型对照组与服用/注射抗血栓药物组都摄入了等量的花生四烯酸(花生四烯酸通过溶解到养鱼用水中或注射的方式摄入到斑马鱼体内)。抗血栓药物组在摄入花生四烯酸的同时摄入阿司匹林、氯吡格雷、丹参多酚酸、盐酸地尔硫卓、血栓通、血塞通之类的抗血栓药物。
服用一段时间抗血栓药物后,我们(1)对斑马鱼做红细胞特异性染色,观察心脏红细胞数量的变化;(2)观察血流速度的变化。
【结果展示】

图1. 斑马鱼心脏红细胞表型图
绿色虚线区域为心脏,心脏内红色为红细胞
可以看到,服用抗血栓药物组的心脏情况与模型对照组比较,红细胞数量明显增多。

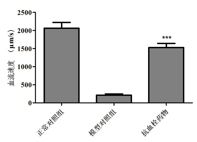
图2. 斑马鱼血流速度
与模型对照组比较,*** p < 0.001
可以看到,服用抗血栓药物组的血流情况与模型对照组比较,血流速度明显加快。
【评价结论】
1.经过每组30尾斑马鱼的对比实验,服用抗血栓药物组与模型对照组比较,心脏红细胞数量明显增加、血流速度明显加快。
2.本实验证实了阿司匹林、氯吡格雷、丹参多酚酸、盐酸地尔硫卓、血栓通和血塞通具有显著的抗血栓作用。


