业务咨询
【评价原理】
细胞色素P450酶是许多同工酶组成的超大家族,主要位于肝脏微粒体中,参与生物体许多内源性和外源性物质的生物转化。许多临床相关药物间的相互作用与抑制和/或诱导CYP酶有关,改变CYP酶的活性对药效有重要影响,有时甚至会威胁生命。在众多肝脏细胞色素P450酶家族中,CYP3A4和CYP2D6与70%以上的药物代谢有关,其中CYP3A4占50%以上,而CYP2D6占20%左右,因此目前药物代谢研究集中于评价药物对CYP3A4和CYP2D6的影响。
我们评价斑马鱼对细胞色素P450的影响作用有2个指标:1.对CYP3A4的影响作用;2.对CYP2D6的影响作用。
【实验方案】
我们将受测试斑马鱼分成两组,分别是正常对照和服用/注射供试品组(供试品通过溶解到养鱼用水中或注射的方式摄入到斑马鱼体内)。
服用/注射药物一段时间后,利用特异性试剂盒检测斑马鱼体内细胞色素P450的活性。
【结果展示】

图1. 斑马鱼CYP3A4活性
与正常对照组比较,*** p < 0.001

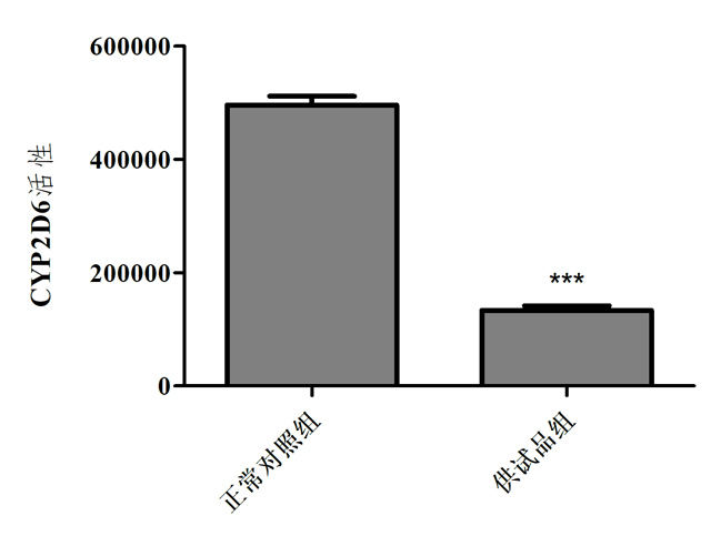
图2. 斑马鱼CYP2D6活性
与正常对照组比较,*** p < 0.001
可以看到,服用/注射供试品组斑马鱼细胞色素P450活性抑制。
【评价结论】
1.经过每组30尾斑马鱼的对比实验,服用/注射供试品组的斑马鱼细胞色素P450活性明显抑制,与正常对照组存在明显的差别。
2.本实验证实了该供试品对斑马鱼细胞色素P450有抑制作用。


